JavaScript is disabled in your browser. Please enable JavaScript to view this website.

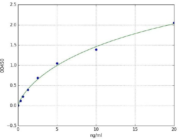
Mouse iNOS ELISA Kit(AB285318)

$undefined

Mouse iNOS ELISA Kit(AB285318)

Mouse iNOS ELISA Kit is a Sandwich (quantitative) ELISA kit for the measurement of Mouse iNOS in Mouse in Plasma, Tissue Homogenate, Serum, Other biological fluids samples.
Specifications
Shipped At Conditions Blue Ice
Appropriate Long term Storage Conditions Store at +4°C.
Applications sELISA