JavaScript is disabled in your browser. Please enable JavaScript to view this website.

Mouse Hepcidin ELISA Kit(AB285280)

$undefined

Mouse Hepcidin ELISA Kit(AB285280)

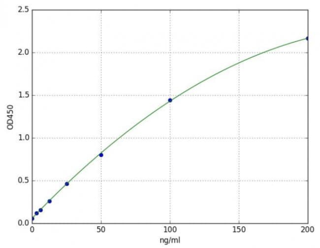
Mouse Hepcidin ELISA Kit is a Sandwich (quantitative) ELISA kit for the measurement of Mouse Hepcidin in Mouse in Plasma, Tissue Homogenate, Serum, Other biological fluids samples.
Specifications
Shipped At Conditions Blue Ice
Appropriate Long term Storage Conditions Store at +4°C.
Applications sELISA