JavaScript is disabled in your browser. Please enable JavaScript to view this website.

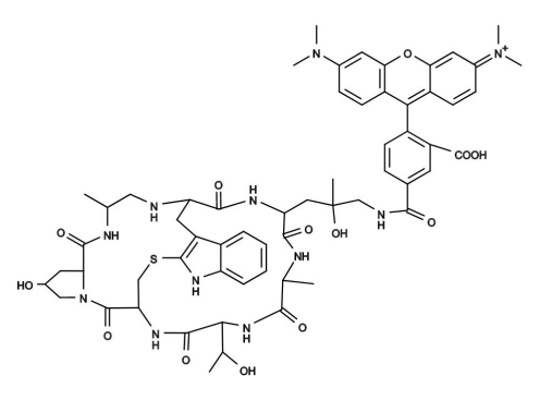
Rhodamine Phalloidin Reagent(AB235138)

$undefined

Rhodamine Phalloidin Reagent(AB235138)

Rhodamine Phalloidin Reagent ab235138 is one of a series of phalloidin conjugates that are used to stain actin filaments in fluoresence microscopy.
Specifications
Shipped At Conditions Blue Ice
Appropriate Long term Storage Conditions Store at -20°C.