JavaScript is disabled in your browser. Please enable JavaScript to view this website.

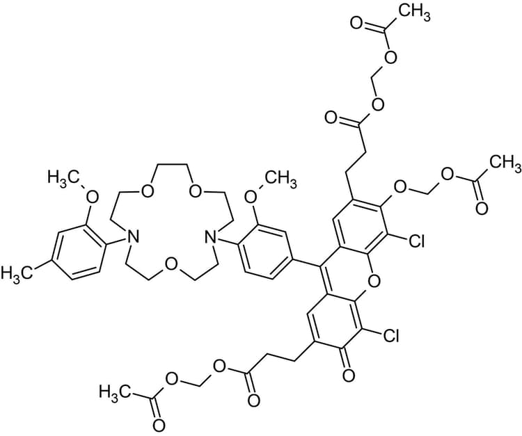
ION NaTRIUM Green™-2 AM, cytosolic Na+ indicator(AB142802)

$undefined

ION NaTRIUM Green™-2 AM, cytosolic Na+ indicator(AB142802)

MW 1083.9 Da. ION NaTRIUM Greenâ„¢-2 AM, cytosolic Na+ indicator. Achieve your results faster with highly validated, pure and trusted compounds.
Specifications
Shipped At Conditions Ambient - Can Ship with Ice
Appropriate Long term Storage Conditions Store at -20°C.