JavaScript is disabled in your browser. Please enable JavaScript to view this website.

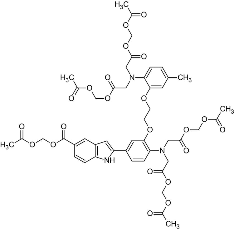
Indo-1 AM, fluorescent Ca2+ indicator(AB142778)

$undefined

Indo-1 AM, fluorescent Ca2+ indicator(AB142778)

MW 1009.9 Da, Purity >95%. Cell-permeable, ratiometric, fluorescent Ca2+ indicator. Binds to Ca2+ with high affinity (Kd = 230 nM). Fluoresces blue/violet and fluorescence increases upon Ca2+ binding. Cell-impermeable form, Indo 1 K+ salt (ab142779) also available. Emission and excitation shifts from 475 to 401 nm and 346 to 330 nm respectively depending on Ca2+ binding.
Specifications
Shipped At Conditions Ambient - Can Ship with Ice
Appropriate Long term Storage Conditions Store at -20°C.
CAS Number 112926-02-0