Conjugation - HRP Conjugation Kit - Lightning-Link® (ab102890)
Parkash, Om, et al used HRP Conjugation Kit - Lightning-Link® (ab102890) as part of the development and evaluation of a biosensor based on screen-printed carbon electrodes (SPCEs) for the detection of dengue-specific immunoglobulin M (IgM) antibodies. They used the kit to conjugate HRP to anti-dengue antibody for use in conjugation.
(A) Schematic diagram of the screen printed carbon electrode (SCPE)-based dengue IgM biosensor. The biosensor was constructed by sequentially adding optimised concentration of anti-human IgM capture antibody, blocking agent, human IgM antibody or serum sample, dengue antigen and detection antibody, with washing steps in between. Electrochemical signal was generated following addition of TMB substrate. (B) Comparison of various immobilisation techniques for the goat anti-human IgM capture antibody. NC: negative control consisting of a dengue IgM negative serum sample; PC: dengue IgM positive serum sample. (C) Field Emission Scanning Electron Microscopy (FESEM) surface images of (left panel) a bare carbon electrode and (right panel) a carbon electrode modified with an anti-human IgM antibody using the streptavidin/biotin immobilisation system. Both capture and detection antibodies were labeled using Lightning-Link® conjugation kits (ab201796 and ab102890).
Image from Parkash, Om, et al., Diagnostics (Basel), 11(1):33; doi: 10.3390/diagnostics11010033. Reproduced under the Creative Commons license https://creativecommons.org/licenses/by/4.0/
 
              Conjugation - HRP Conjugation Kit - Lightning-Link® (ab102890)
Rackus, Darius G., et al used HRP Conjugation Kit - Lightning-Link® (ab102890) as part of examining digital microfluidics for detection a malaria biomarker. They used the kit to conjugate HRP to anti-Plasmodium falciparum LDH antibody for use in pre-concentration by liquid intake by paper (P-CLIP).
DMF immunoassay for PfLDH. Comparison of mean signals obtained by traditional DMF-ELISA (black) and P-CLIP modified DMF-ELISA (grey) for concentrations below the limit of detection (7 ng mL-1) and limit of quantitation (70 ng mL-1) of the traditional DMF-ELISA. Error bars ± 1 std. dev. (n = 3).
Image from Rackus et al., Lab Chip., 17(13):2272-2280; doi: 10.1039/c7lc00440k.Reproduced under the Creative Commons license https://creativecommons.org/licenses/by/3.0/
 
              Western blot - HRP Conjugation Kit - Lightning-Link® (ab102890)
Lemaire, Katleen, et al used HRP Conjugation Kit - Lightning-Link® (ab102890) as part of examining protein interactions. They used the kit to conjugate HRP to anti-BIP and anti-UFBP1 antibodies for use in detection by western blot after immunoprecipitation.
Co-immunoprecipitation with BiP, UFL1 and UFM1 specific antibodies. BiP and UFBP1 antibodies were conjugated to HRP using ab102890 for detection after immunoprecipitation.
Image from Lemaire, Katleen, et al., PloS one, 6(4): e18517; doi: 10.1371/journal.pone.0018517. Reproduced under the Creative Commons license https://creativecommons.org/licenses/by/4.0/
 
              ELISA - HRP Conjugation Kit - Lightning-Link® (ab102890)
ELISA - HRP Conjugation Kit Lightning-Link.
Cervin, Jakob, et al used HRP Conjugation Kit - Lightning-Link® (ab102890) as part of examining binding of Cholera Toxin subunit B (CTB) to blood group antigen LewisX (LeX). They used the kit to conjugate HRP to CTB and G33D (mutated version of CTB) for use in ELISA.
ELISA with titrated amounts human serum albumin-linked oligosaccharides (HSA-OS), immobilized to wells and detected with (B) CTB-HRP and (C) G33D-HRP. Graph shows absorbance values from three independent experiments.
Image from Cervin, Jakob, et al., PLoS pathogens?14.2 (2018): e1006862. Reproduced under the Creative Commons license https://creativecommons.org/licenses/by/4.0/
 
              Conjugation - HRP Conjugation Kit - Lightning-Link® (ab102890)
HRP Conjugation Kit - Lightning-Link® labeling monoclonal and polyclonal rabbit IgG for ELISA.
Gram M et al. used ab102890 to assess levels of cell free fetal haemoglobin (HbF) and haptoglobin (Hp) by ELISA.
Samples were from normal pregnancies (Control) and women diagnosed with PE. The cell-free HbF plasma concentration of each patient sample (Control and PE) was plotted against the Hp plasma concentration.
Image from Gram M et al.,PLoS One, 10(9):e0138111. Fig 1.; doi: 10.1371/journal.pone.0138111. Reproduced under the Creative Commons license https://creativecommons.org/licenses/by/4.0/
 
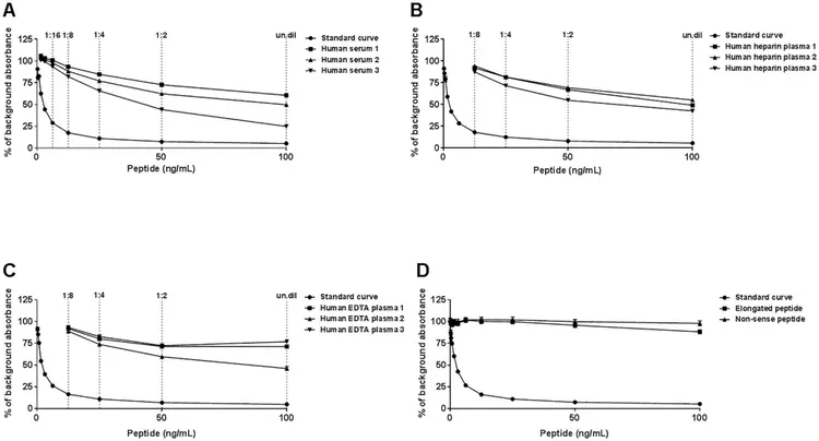
              Conjugation - HRP Conjugation Kit - Lightning-Link® (ab102890)
HRP Conjugation Kit - Lightning-Link® labeling C3C antibody for competitive ELISA.
Rasmussen DG et al. used ab102890 to determine levels of C3C by competitive ELISA.
(A) Standard curve and inhibition of the competitive ELISA signal using healthy human serum, (B) human heparin plasma and (C) human EDTA plasma. The native material was run from undiluted and up to 8-fold diluted as indicated. (D) Neo-epitope specificity of the C3C ELISA was shown by comparing reactivity towards an elongated peptide, i.e. a peptide with an additional amino acid at the N-terminal generated by cleavage, a non-sense peptide, i.e. a peptide with a different sequence, and the standard peptide. The standard peptide (i.e. standard curve), elongated peptide, and non-sense peptide were diluted 2-fold from 100 ng/mL. The data is presented as percent (%) of background absorbance, which is the absorbance with only assay buffer present, as a function of peptide concentration.
Image from Rasmussen DG et al., PLoS One, 12(1):e0170023. Fig 2.; doi: 10.1371/journal.pone.0170023. Reproduced under the Creative Commons license https://creativecommons.org/licenses/by/4.0/
